티스토리 뷰
https://www.acmicpc.net/problem/17779
17779번: 게리맨더링 2
재현시의 시장 구재현은 지난 몇 년간 게리맨더링을 통해서 자신의 당에게 유리하게 선거구를 획정했다. 견제할 권력이 없어진 구재현은 권력을 매우 부당하게 행사했고, 심지어는 시의 이름
www.acmicpc.net
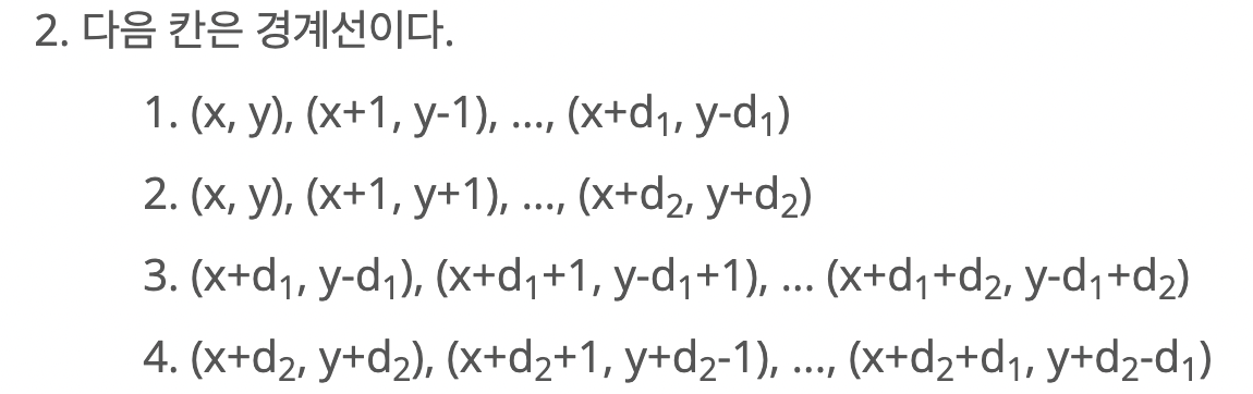
우선 각 선거구를 나눠야 하는데,
나누는건 문제에서 주어지는 다음 조건에 의해 쉽게 나눌수 있다.

위 조건에서 각 줄의 마지막 좌표가 나타내는건 5번 선거구역의 4개의 꼭지점을 나타낸다.
선거구를 나누는 함수를 구현했다면, 이제 브루트포스 방법으로 모든 경우를 계산해보면 된다.
주의 할 점은 d1,d2는 최소 1이상 이어야하기 때문에, 시작 좌표는 x=1, y=1이 아닌 x=1,y=2 부터다.
'PS' 카테고리의 다른 글
| 백준 21608. 상어 초등학교 (0) | 2022.05.23 |
|---|---|
| 백준 17822. 원판 돌리기 (0) | 2022.05.23 |
| 백준 14719. 빗물 (0) | 2022.05.21 |
| 백준 2665. 미로 만들기 (0) | 2022.05.21 |
| 백준 17472. 다리 만들기 2 (0) | 2022.05.21 |
댓글
공지사항
최근에 올라온 글
최근에 달린 댓글
- Total
- Today
- Yesterday
링크
TAG
- C
- Implementation
- CSS
- BFS
- binary search
- Tree
- MVC
- 이분탐색
- Kruskal
- 조합
- 재귀
- Python
- recursion
- permutation
- Stack
- Dijkstra
- 자료구조
- Unity
- priority queue
- Spring
- two pointer
- DP
- graph
- C++
- greedy
- Brute Force
- back tracking
- db
- floyd warshall
- dfs
| 일 | 월 | 화 | 수 | 목 | 금 | 토 |
|---|---|---|---|---|---|---|
| 1 | 2 | 3 | 4 | 5 | 6 | 7 |
| 8 | 9 | 10 | 11 | 12 | 13 | 14 |
| 15 | 16 | 17 | 18 | 19 | 20 | 21 |
| 22 | 23 | 24 | 25 | 26 | 27 | 28 |
글 보관함
