티스토리 뷰
https://programmers.co.kr/learn/courses/30/lessons/49189
코딩테스트 연습 - 가장 먼 노드
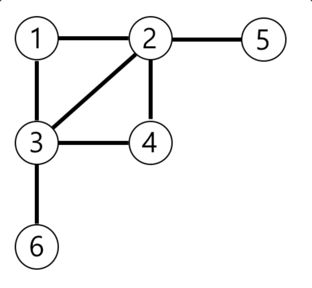
6 [[3, 6], [4, 3], [3, 2], [1, 3], [1, 2], [2, 4], [5, 2]] 3
programmers.co.kr

1. bfs를 정점1 부터 돌려서 깊이를 기록해 놓음. 이때 깊이의 최댓값도 갱신함.
2. 모든 정점돌면서 깊이의 최댓값에 해당하는 정점이 몇개인지 카운트함
'PS' 카테고리의 다른 글
| 프로그래머스. 디스크 컨트롤러 (0) | 2021.12.26 |
|---|---|
| 백준 11723. 집합 (0) | 2021.12.26 |
| 프로그래머스. 셔틀버스 (0) | 2021.12.23 |
| 백준 2110. 공유기 설치 (0) | 2021.12.23 |
| 백준 1654. 랜선 자르기 (0) | 2021.12.22 |
댓글
공지사항
최근에 올라온 글
최근에 달린 댓글
- Total
- Today
- Yesterday
링크
TAG
- 재귀
- MVC
- Tree
- Unity
- permutation
- BFS
- DP
- greedy
- Implementation
- back tracking
- C++
- floyd warshall
- Brute Force
- 자료구조
- Kruskal
- Dijkstra
- priority queue
- db
- 이분탐색
- dfs
- Stack
- C
- two pointer
- binary search
- Python
- graph
- recursion
- 조합
- Spring
- CSS
| 일 | 월 | 화 | 수 | 목 | 금 | 토 |
|---|---|---|---|---|---|---|
| 1 | 2 | 3 | 4 | 5 | 6 | 7 |
| 8 | 9 | 10 | 11 | 12 | 13 | 14 |
| 15 | 16 | 17 | 18 | 19 | 20 | 21 |
| 22 | 23 | 24 | 25 | 26 | 27 | 28 |
글 보관함
